|
|
Rotterdam
KLINGER The NetherlandsNikkelstraat 2 3067 GR Rotterdam
Elsloo
KLINGER Service Center LimburgBusiness Park Stein 208A 6181 MB Elsloo
Velsen-Noord
KLINGER The NetherlandsRooswijkweg 200 1951 MD Velsen-Noord
Moordrecht
Hadro Techniek Zuidbaan 351 2841 MD Moordrecht |
Spoed of vragen over de beschikbaarheid?
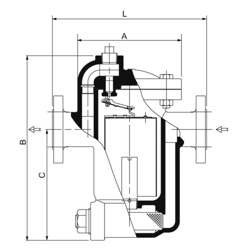
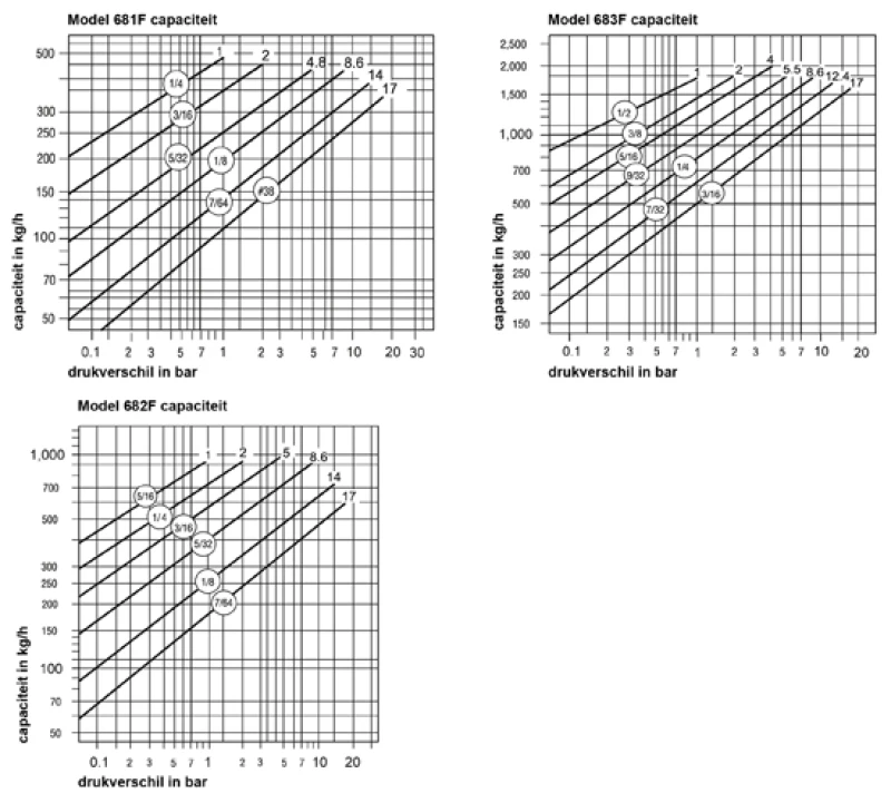
| Type | 680F Series |
| Materiaal | Nodulair gietijzer ASTM A395 Gr. 60-40-18 |
|
|
|
| Binnenwerk | RVS 304 |
| Klep en zitting | RVS 17-4PH H900 |
| Filter | RVS 304 |
| Ontwerpdruk max. | 17 bar |
| Tegendruk | 99% van de voordruk |
| Stoomdruk | max 17 bar @ 232 ºC |
| Aansluitingen | Flensaansluitingen PN25 EN1092-2 |
|
|
|
| Ook leverbaar | afwijkende klepdoorlaat |
| ingebouwde terugslagklep | |
| met thermostatische ontluchting | |
Voor meer informatie over onze emmer condenspotten kunt u contact opnemen met: